-스포츠 활동 많은 소아·청소년에게 흔하지만 치료 방침 결정하는 별도 기준 없어
-연구팀, 20세 이하 소아·청소년 무릎 MRI 분석해 슬개골 불안정성 위험 예측하는 TT-TG 및 TT-PCL의 기준 값 제시
-슬개골 불안정성으로 수술 필요한 환자 결정하고, 정확한 교정 위한 지표로 활용할 수 있을 것
![]() |
| ▲분당서울대병원 정형외과 성기혁 교수(사진 왼쪽), 박세진 전공의 |
슬개골은 무릎에 위치해 대퇴골 활차구(홈)에 정확하게 위치하며 무릎이 원활하게 움직일 수 있도록 하는 역할을 한다. 하지만 외상이나 무릎 관절 구조에 이상이 생겨 슬개골이 활차구 위에서 이탈할 경우 부분 탈구, 완전 탈구와 같은 슬개골 불안정성이 나타난다.
물리 치료나 보조기 착용 등 보존적 치료에도 탈구가 반복되면 수술적 치료를 고려하게 된다. 성인의 경우 경골결절(정강이뼈에서 가장 튀어나온 부분)과 활차구 사이(TT-TG) 및 경골결절과 후방십자인대 사이(TT-PCL) 거리를 측정해 TT-TG 거리 20mm 또는 TT-PCL 거리 24mm을 기준으로, 이보다 큰 경우 심각한 불균형이 있다고 판단하고, 슬개골을 제자리에 되돌려놓는 ‘원위부 재정렬 수술’을 시행하게 된다.
![]() |
| ▲A. 경골결절과 활차구 사이(TT-TG) 거리- 슬개건이 닿는 부위의 중심을 지나는 직선과 활차구 홈의 가장 깊숙한 부분을 지나는 직선 사이의 거리 B. 경골결절과 후방십자인대 사이(TT-PCL) 거리- 슬개건이 닿는 부위의 중심을 지나는 직선과 후방십자인대의 안쪽 모서리를 지나는 직선 사이의 거리 |
문제는 슬개골 불안정성이 성인보다 스포츠 활동이 많은 소아 및 청소년에게 더욱 흔하게 나타남에도 불구하고, 치료 방침을 결정하는 별도의 기준이 없다는 점이다. 이에 분당서울대병원 정형외과 성기혁 교수 연구팀(1저자: 정형외과 박세진 전공의)은 20세 이하 소아·청소년 596명의 무릎 MRI를 대상으로 연령대별 TT-TG 및 TT-PCL 거리의 정상 값과 슬개골 불안정성 위험을 예측하는 기준 값을 알아보고자 연구를 진행했다.
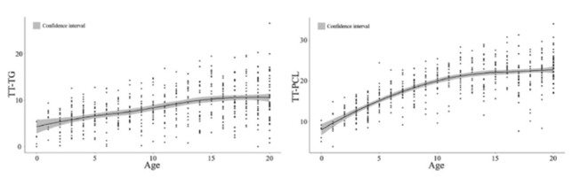
그 결과, 87명이 불안정성군, 509명이 불안정성이 없는 정상군에 속했는데 이 중 정상군에 속한 소아의 TT-TG 거리는 8.2mm, TT-PCL 거리는 19.5mm인 것으로 나타났다. 이는 불안정성군의 TT-TG 및 TT-PCL 거리인 16.1mm와 24.4mm와 비교해 유의하게 작은 수준이었다. 또한, 정상군에 속한 소아·청소년의 TT-TG 및 TT-PCL 거리는 각각 15세, 11세까지 매년 증가하는 것을 확인할 수 있었다.
![]() |
| ▲정상군에 속한 소아·청소년의 연령에 따른 TT-TG 거리(좌)와 TT-PCL 거리(우)의 산점도. |
또한, 연구팀은 분석을 통해 소아·청소년의 TT-TG 거리 14.9mm, 또는 TT-PCL 거리 23.7mm를 슬개골 불안정성 위험이 높아지는 기준 값으로 제시했다. 이는 소아·청소년의 TT-TG 및 TT-PCL 거리를 측정해 연구팀이 제시한 기준 값보다 클 경우 뼈의 구조를 교정하기 위한 수술적 치료를 고려해야 함을 의미한다.
성기혁 교수는 “이번 연구는 성장함에 따라 변화하는 소아·청소년의 TT-TG와 TT-PCL 값을 분석하고, 치료 방침을 결정하기 위한 기준을 마련했다는 점에서 의미가 깊다”며, “슬개골 불안정성으로 수술적 치료가 필요한 환자를 결정하고, 정확하게 교정하기 위한 지표로서 활용할 수 있을 것으로 보인다”고 밝혔다.
한편, 이번 연구 결과는 SCI급 국제학술지 ‘미국스포츠의학 저널(American Journal of Sports Medicine)’에 게재됐다. [로컬세계 = 마나미 기자]
[저작권자ⓒ 로컬(LOCAL)세계. 무단전재-재배포 금지]
































